Quartz 4

Home

❯

Year 3

❯

Control

❯

Block_Diagram_Worked_Examples.excalidraw

Block_Diagram_Worked_Examples.excalidraw

Oct 30, 20251 min read

  • excalidraw

⚠ Switch to EXCALIDRAW VIEW in the MORE OPTIONS menu of this document. ⚠

Text Elements

Embedded files

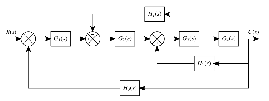
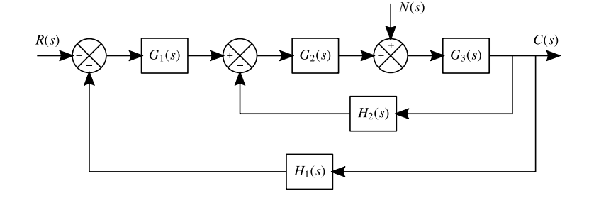
286820c646371eaf6082aa597b5086a62ad290ab: Pasted Image 20240413193108_924.png 18e449e670381914b8646de9a636862a91d46a38: Pasted Image 20240413194240_185.png


Graph View

  • Text Elements
  • Embedded files

Created with Quartz v4.5.2 © 2025

  • GitHub
  • Discord Community