Abstract
Input Signals, specifically for Control systems can be of many different types, such as constant or time dependent, however it is easiest to define mathematically the simplest types, and build from that
Extra:
Time Response of Control Systems
Step Input
This is when there is a sudden (instantaneous) change from one constant to another. Typically the initial value is specified as no input for simplicity.
Resulting Laplace
Unit Step Input:
This is a specific type of step input where , this is particularly relevant and useful for analyzing the response of a system.
Diagram:

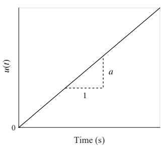
Ramp Input
When an input is applied such that it increases from zero at with a constant rate, it is known as a ramp input.
If the signal has a rate of change, or slope: , then we have the mathematical definition:
Resulting Laplace
Diagram:

Periodic Input
When the input is in the form of a wave, which is periodic, we define it as a periodic input or alternatively a harmonic excitation. This has the form:
Resulting Laplace
Diagram
